糖心vlog
学校主页
English
糖心vlog
糖心vlog概况
糖心vlog简介
院长致辞
现任领导
历任领导
办公指南
院领导接待日
组织机构
系(所、中心、研究院)
省部级实验室
实验平台
学术组织
师资队伍
知名学者
教师名录
硕博导名录
教育教学
研究生
本科生
科学研究
科研成果
学术活动
实验平台
党政工作
党务工作
政务工作
教工之家
关工委
学生工作
学生组织
学生活动
学子风采
“平安校园”大赛
招生就业
本科生招生
研究生招生
就业工作
国际交流
学生交流项目
国际合作与交流
校友合作
组织机构
校友风采
校友动态
流金岁月
学校主页
English
糖心vlog
糖心vlog概况
糖心vlog简介
院长致辞
现任领导
历任领导
办公指南
院领导接待日
组织机构
系(所、中心、研究院)
省部级实验室
实验平台
学术组织
师资队伍
知名学者
教师名录
硕博导名录
教育教学
研究生
本科生
科学研究
科研成果
学术活动
实验平台
党政工作
党务工作
政务工作
教工之家
关工委
学生工作
学生组织
学生活动
学子风采
“平安校园”大赛
招生就业
本科生招生
研究生招生
就业工作
国际交流
学生交流项目
国际合作与交流
校友合作
组织机构
校友风采
校友动态
流金岁月
您所在的位置:
糖心vlog
通知公告
通知公告
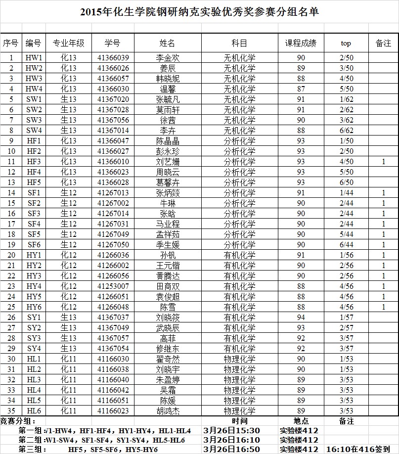
糖心vlog 纳克奖学金申请实验优秀奖参赛分组名单
|
日期:2015-03-19
|
访问量: